Hand grip strength is a simple physical measurement, yet it consistently predicts ageing trajectories, healthspan, and longevity more reliably than many laboratory markers. In large population studies, low grip strength associates with higher mortality, higher cardiovascular risk, and poorer resilience to illness. It does so across sexes, cultures, and income settings!
This article examines hand grip strength as a simple marker that outperforms far more complex tests of biological age.
What Hand Grip Strength Represents
Grip strength isn’t just an indicator of hand strength. It reflects whole body neuromuscular performance, muscle quality, and central nervous system drive. These systems degrade with age, disease burden, and metabolic stress.
Grip strength benefits from low measurement noise, high reproducibility, minimal learning effect, and simplicity.
It isn’t sensitive to short-term fluctuation. It changes slowly. When it declines, it usually reflects systemic changes.
Grip Strength and Mortality Risk
The strongest evidence linking grip strength to longevity comes from large, prospective cohort studies
The Prospective Urban Rural Epidemiology (PURE) study followed over 140,000 individuals across 17 countries. Each 5 kg reduction in grip strength was associated with a significant increase in all-cause mortality and cardiovascular mortality, independent of age, smoking, blood pressure, BMI, and physical activity.
Grip strength outperformed systolic blood pressure as a predictor of death. Importantly, this association held across low-, middle-, and high-income countries. This strongly argues against grip strength being a culturally specific or lifestyle-only marker.
A large UK Biobank analysis published in the BMJ reached similar conclusions. Lower grip strength predicted higher mortality from cardiovascular, respiratory, and all causes.
Grip Strength as a Marker of Healthspan
Longevity without function is not a meaningful outcome. Grip strength tracks healthspan more closely than lifespan. Lower grip strength is associated with higher rates of hospitalisation, poorer recovery from acute illness, and higher risk of death once disease occurs.
In PURE, individuals with lower grip strength had markedly higher fatality rates after heart attack, stroke, pneumonia, and cancer, despite similar incidence rates. This suggests increased vulnerability is associated with lower grip strength.
Grip strength appears to capture physiological reserve. When stress is applied, weaker systems fail earlier.
Ageing Trajectories and Rate of Decline
Grip strength declines predictably with age, but the slope varies widely between individuals. Longitudinal data from European and Nordic cohorts show that peak grip strength is typically reached in early adulthood, followed by gradual decline in midlife and accelerated decline preceding frailty. Absolute strength matters less than rate of decline. Individuals entering later life with greater reserve tolerate loss for longer.
Frailty rarely appears abruptly and is preceded by years of declining physical signals.

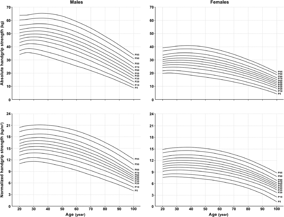
Smoothed percentile curves (P5 to P95) for handgrip strength in kilograms (kg) and normalised handgrip strength (handgrip strength in kg divided by height in meters squared (kg/m2)) for adults aged 20 to 100+ years (from: International norms for adult handgrip strength)
Relationship to Sarcopenia and Frailty
Grip strength is a core diagnostic criterion in definitions of sarcopenia because it reflects function so accurately. Muscle mass can be preserved but muscle quality can deteriorate. Grip strength detects this earlier. Frailty indices incorporating grip strength outperform those based solely on co-existing illnesses or age, reinforcing its role as a functional biomarker.
Cardiovascular Disease and Metabolic Health
The association between grip strength and cardiovascular outcomes is consistent though not related to a directly identifiable mechanism. Lower grip strength correlates with higher cardiovascular mortality, higher post-event fatality, and poorer tolerance of cardiovascular stressors. These relationships persist after adjusting for physical activity and body composition. Grip strength therefore reflects more than exercise volume alone.
Grip Strength Is Not About the Hands
A common misunderstanding is that grip strength improvement requires isolated hand training. Grip strength tracks whole-body strength and neuromuscular health. Meaningful improvement follows resistance training, adequate protein intake, and reduction in inflammatory burden.
Isolated grip exercises alone aren’t recommended as they may increase measured strength (and so ‘cheat’ the test) but without altering systemic health. Hand grip strength is best viewed as an outcome measure – not a primary target.
Normal Values and Clinical Interpretation
Population reference ranges exist, but interpretation benefits from clinical input. Values substantially below age and sex-matched norms are concerning. Serial decline will be more informative than a single low measurement. Grip strength should be interpreted alongside body composition, metabolic markers, and clinical history.
Limitations of Grip Strength
Grip strength is not a universal marker. It doesn’t reliably predict falls risk, Type 2 diabetes, or musculoskeletal injury by itself. Upper-limb strength is not interchangeable with lower-limb power or aerobic capacity, but it is usually associated with it.
Why Grip Strength Belongs in Longevity Assessment
Hand grip strength meets key criteria for inclusion in any serious longevity evaluation: it predicts mortality, reflects resilience, is stable over time, and is sensitive to decline. It can provide functional information that you don’t get from blood tests. For this reason, grip strength measurement forms part of our broader longevity and healthspan assessment, alongside metabolic, cardiovascular, and body-composition evaluation.
Summary
Hand grip strength is not just a fitness metric. It’s a biological signal. In the context of ageing and longevity, it functions as a low-noise indicator of systemic robustness. For clinicians focused on healthspan, grip strength remains one of the most simple and informative measurements available.
